慨述
英文版名字:精氨酸
汉语语法拼音名:Jing‘ansuan
英文翻译称呼:Arginine
电学简称:L-2-氨基-5-胍基戊酸
CAS号:74-79-3
化学工业氧分子结构:C6H14N4O2
大分子量:174.20
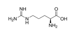
组成式:

特性:本品为黄色晶体或晶体性金属粉,可以说无臭,有特俗味。本品在水内溶于,在甲醇中可以说不溶,在乙醚中可以说不溶;在稀稀盐酸中溶于。
强制执行标淮:國家进口药品监控功能处理局标淮YBH16362004,按照《燕赵群众共合国药典》(二零二零年版)。
审批权文号:国药准字H20045457。
的国家处方药参与管理系统局处方药审评咨询中心(CDE)注册登记号:Y20190005213。
存贮:应遮光、封闭永久保存。
有效地期:2年。
系统验证:国内GMP、澳大利亚PMDA注册、澳大利亚FSMA注册、ISO 9001、ISO 14001、ISO 45001。
精益求精的价值,超过遗憾,从的标椎化到开发化。
已做到物理防御相对性状(颗粒、松相对密度、纯净水性)一副一专有制定。
包裝规格为:(7kg/15L铝桶*2桶)/搬家纸箱、(10kg/30L铝桶*1桶)/纸箱子
常用筛网目数:60目、100目、150目(可私人订制)
设备独有的生活助理:曹凯东 15127119722(同微信qq)
当“卷”变成状态,邀请药品工厂、研发部门公司全方向、多种化媒体合作,长处互替、牵引力破圈。从“现货服务商”到“商业价值携手同行共创朋友”的树立者。